Differentiate with Respect to Y 的热门建议 |
- Defferentiate E Xy
with Respect to Y - How to Differentiate with Respect to
X - Differentiate Exx 2
with Respect to X - Differentiate R with Respect to
Theta - Differentiate
W.R.t Xyx.7 X - Derivative with Respect to
X - What Does with Respect to
X Mean - Derivitive of Y
2 X - Differentiation with Respect to
X - How to Differentiate
Arctan - Differentiate 2 to
the Power X - How to Differentiate
X 1 X - How to Differentiate
E - How to Differentiate
Functions Calculus - Differentiate
Log X - How to Differentiate
a Function - Differentiate with Respect to
X - Y
3X 4 2X 5 2 Differentiation - How to Differentiate
Ln X - Differentiate with Respect to
X Product Rule - Differentiate Sin of Cos X
with Respect to X - How to Differentiate with Respect to
X and with Respect to Y - Deferentiate Each Function
with Respect to X - Differentiate Each Function
with Respect to X - Differentiate These Functions
with Respect to X - Differentiate EXX 2
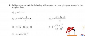
with Respect to X - Differentiate the Following
with Respect to X - Differeniate Each Function
with Respect to X - Differentiate
W.R.t XYX.7 X - How to Differentiate
2 X
热门视频
观看更多视频
更多类似内容
